Copyright
Facebook
Twitter
Youtube
Telegram
Instagram
الكتب المنهجية, الملازم الدراسية, مراجعات مركزة, الاسئلة الوزارية, نتائج الامتحانات
شبكة اثـراء
>/
الاعدادية/
الادبي/
السادس/
اسئلة وزارية/
الرياضيات/
2021/
885/
/
/
/
/
/
/
/
/
/
/
رجوع
تحميل النتائج...
1%
العنوان
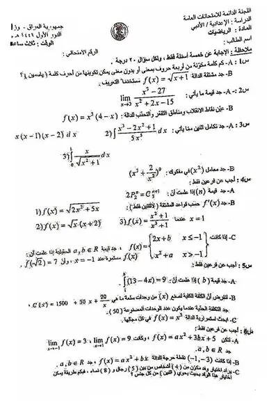
اسئلة واجوبة الرياضيات السادس الادبي الدور الاول 2021 [PDF]
الصف
السادس الادبي
المادة
الرياضيات
الاعداد
وزارة التربية العراقية
الاصدار
2021 م
الحجم
0.8 ميگابايت
الصفحات
الاسئلة : 1 الاجوبة : 13
القراءة
رابط القراءة
التحميل
رابط التحميل
التحميل
بواسطة التليكرام
.
.
0
الرئيسية